广东莱伯通试验设备有限公司

电话:139 2283 3653

邮箱:sales@labtone.cn

网址:www.labtone.cn    

地址:广东省东莞市长安镇涌头沿海路6号B1栋


文章详情

激励方式

日期:2026-05-30 01:46
浏览次数:1468
摘要:在测量机械设备或结构的振动力学参量或动态性能,如固有频率、阻尼、刚度、响应和模态等时,需要对被测对象施加一定的外力,让其作受迫振动或自由振动,以便获得相应的激励及其响应。激励方式通常可以分为稳态正弦激振 、瞬态激振和随机激振三种。
稳态正弦激振



稳态正弦激振是*普遍的激振方法,它是借助激振设备对被测对象施加一个频率可控的简谐激振力。稳态正弦激振频率改变有两种方式,即线性扫频和对数扫频,对于被测结构关心固有频率范围不大的情形,采用线性扫频;对于关心固有频率范围较大的情形,采用对数扫频。


扫频速度的控制:频率的变化要尽可能慢,以使系统响应达到稳定状态。在共振区附近,频率改变要小,而在非共振区,频率改变可以多一些。这对于小阻尼系统尤为重要。


其优点是:激振功率大,能量集中、信噪比高,能保证响应测试的精度;信号的频率和幅值易于控制;激励的能量级不同时,在非线性结构中将产生不同的频率响应函数,因而能检测出系统的非线性程度;采用适调多点激励时,在模态实验中可以直接得到频域数据。


其缺点是:需逐个测量各个频率点上的稳态响应,测试周期长,特别是小阻尼结构,更加明显;不能通过平均消除系统非线性因素的影响;容易产生泄漏误差。


瞬态激振



瞬态激振为对被测对象施加一个瞬态变化的力,是一种宽带激励方法。常用的激励方式有快速正弦扫描激振、脉冲激振、阶跃(张弛)激振三种。


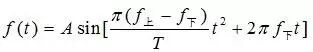
1. 快速正弦扫描激振

激振信号由信号发生器供给,其频率可调,激振力为正弦力。但信号发生器能够作快速扫描,激振信号频率在扫描周期T内成线性增加,而幅值保持不变。

快速正弦扫描激振力信号的函数

达式为:



图片

该激励方式能在两极限频率之间产生一平直谱,而在极限频率之外,谱幅为零,即矩形频谱。幅值频谱在起始频率f上与终了频率f下处有明显的跃迁,基本上呈矩形,频谱曲线的平均值上叠加的小波幅与T的算数平方根的倒数成正比,这种激励可以很方便地选定和准确控制所需的激振频率范围。

图片

其优点是:可消除泄漏误差,信噪比好,测试速度快,容易控制激励的频率含量等。


其缺点是:为控制猝发时间,需特殊硬件,不能消除结构非线性因素的影响。


2. 脉冲激振

脉冲激振是用一个装有传感器的锤子(又称脉冲锤)敲击被测对象,对被测对象施加一个力脉冲,同时测量激励和被测对象。脉冲的形成及有效频率取决于脉冲的持续时间。而持续时间则取决于锤端的材料,材料越硬,持续时间越小,则频率范围越大。


其优点是:脉冲锤激振设备简单,价格低廉,使用方便,对工作环境适应性较强,特别适应于现场测试;激励频率成分与能量可大致控制,试验周期短,无泄漏。


缺点是:信噪比较差,特别是对大型结构,激励能量往往不足以激起足够大的响应信号。且在着力点位置、力的大小、方向的控制等方面,需要熟练的技巧,否则会产生很大的随机误差。


3. 阶跃(张弛)激振

阶跃激振是通过突加或突卸力载荷(或位移)实现对系统的瞬态激励。如使用一根刚度大、重量轻的绳索拉紧被测结构某一部分,突然释放绳索中的拉力,就会形成系统的一个阶跃激励。


阶跃激励的特点是能给结构输入很大的能量,但激励中高频成分较少,一般只能激励出系统的低阶主振动。


阶跃激振属于宽带激振,适用于大型、重型结构的模态分析在建筑结构的振动测试中被普遍应用。它一般是在其它激励很难实现时采用,并非一种常用且优选的激励方式。



随机激振



随机激振是一种宽带激振,一般用纯随机、伪随机或猝发随机信号为激励信号。


1. 纯随机信号

纯随机信号一般由模拟电子噪声发生器产生,经低通滤波成为限带白噪声,在给定频带内具有均匀连续谱,可以同时激励该频带内所有模态。白噪声的自相关函数是一个单位脉冲函数,即除τ=0 处以外,自相关函数等于零,在τ=0 时,自相关函数为无穷大,而其自功率谱密度函数幅值恒为1。


实际测试中,当白噪声通过功放并控制激振器时,由于功放和激振器的通频带是有限的,所以实际的激振力频谱不能在整个频率域中保持恒值,但如果在比所关心的有用频率范围宽得多的频域内具有相等的功率密度时,仍可视为白噪声信号。


纯随机信号优点是:可以经过多次平均消除噪声干扰和非线性因素的影响,得到线性估算较好的频响函数;测试速度快,可做在线识别。


其缺点是:容易产生泄漏,虽然可以加窗控制,但会导致分辨率的降低,特别是小阻尼系统;激振力谱难以控制。


2. 伪随机信号

将白噪声在时间T(单位为s)内截断,然后按周期T重复,即形成伪随机信号。伪随机信号自相关函数与白噪声的自相关函数相似,但由于它有一个重复周期T,它的自相关函数Rx(t)在τ=0时,T、2T、...以及-T、-2T,... 各点取值为a²,而在其余各点之值均为零。


伪随机信号激励方法,既具有纯随机信号的真实性,又因为有一定的周期性,在数据处理中避免了统计误差。


伪随机信号优点是:激励信号的大小和频率成分易于控制,测试速度快;如果分析仪的采样周期等于伪随机信号周期的整数倍,就可以消除泄漏误差。


其缺点是:抗干扰能力差;由于信号的严格重复性,不能采用多次平均来减少噪声干扰和测试结构非线性因素的影响。


3. 猝发随机信号

猝发随机激励只在测量周期的初始一段时间输出信号,其占用时间可任意调节,以适应不同阻尼的结构。与连续随机信号作为激励源不同的是,猝发随机激励时,能保证一个测量窗的响应信号完全由同一测量窗的激励信号引起,输入与输出相干性较好。而连续随机信号激励时,下一个测量窗的响应信号可能有一部分是由上一个测量窗的激励信号引起。


猝发随机信号具有周期随机信号的全部优点,既具周期性,有具随机性,同时有具瞬态性,测试速度较伪随机要快,是一种优良的激励信号。


其缺点是:为了控制猝发时间,需增加特殊硬件设备。


本文根据百度文库中的西安交通大学PPT讲义《现代力学测量技术第三部分振动的激励与激振设备》的部分内容整理而成,讲义由sxer636分享,讲义原作者不详,故而未能标注,望见谅。